- 产品特性
- 相关资料
- Q&A
- 参考文献
非天然氨基酸![]()

Funakoshi可提供100种以上的非天然氨基酸。非天然氨基酸因有着提高生理活性、代谢、溶解性和稳定性等多种不同的作用,备受广大药物研究人员的关注。
◆可提供的非天然氨基酸种类
|
α-AlkynylAla |
α-AlkenylGly |
α-AlkynylGly |
α, α-DialkenylGly |
Alanine (Ala) derivative |
|
|
Aspartic acid (Asp) derivative 衍生物 |
Asparagine (Asn) derivative 衍生物 |
Cysteine (Cys) derivative 衍生物 |
Leucine (Leu) derivative 衍生物 |
Lysine (Lys) derivative 衍生物 |
Ornithine (Orn) derivative |
|
Phenylalanin (Phe) derivative 衍生物 |
Proline (Pro) derivative 衍生物 |
Serine (Ser) derivative 衍生物 |
Threonine(Thr) derivative 衍生物 |
Tryptophan (Trp) derivative 衍生物 |
Tyrosine (Tyr) derivative |
|
Valine (Val) derivative 衍生物 |
|||||
|
产品编号 |
产品名称 |
简称/别称 |
结构式 |
纯度 |
CAS. No. |
分子式 |
分子量 |
|
FN-JJJA |
(S)-α-Allylalanine・H2O |
(S)-α-AllylAla・H2O |
|
≧98.0% |
96886-55-4 |
C6H11NO2・H2O |
147.17 |
|
FN-JJJB |
(R)-α-Allylalanine・H2O |
(R)-α-AllylAla・H2O |
|
≧98.0% |
96886-56-5 |
C6H11NO2・H2O |
147.17 |
|
FN-JJJE |
(R)-N-Boc-α-Allylalanine ethyl ester |
(R)-N-Boc-α-AllylAla-OEt |
|
≧98.0% |
1263046-12-3 |
C13H23NO4 |
257.33 |
|
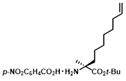
FN-JJJH |
(S)-α-(4-Pentenyl)alanine tert-butyl ester p-Nitrobenzoate |
(S)-α-(4-Pentenyl)Ala-OtBu p-Nitrobenzoate |
|
≧98.0% |
1323987-70-7 |
C12H23NO2・C7H5NO4 |
380.44 |
|
FN-JJJI |
(R)-α-(4-Pentenyl)alanine tert-butyl ester p-Nitrobenzoate |
(R)-α-(4-Pentenyl)Ala-OtBu p-Nitrobenzoate |
|
≧98.0% |
1323987-68-3 |
C12H23NO2・C7H5NO4 |
380.44 |
|
FN-JJAB |
(S)-α-(7-Octenyl)alanine tert-butyl ester p-Nitrobenzoate |
(S)-α-(7-Octenyl)Ala-OtBu p-Nitrobenzoate |
|
≧98.0% |
1375908-92-1 |
C15H29NO2・C7H5NO4 |
422.52 |
|
FN-JJAC |
(R)-α-(7-Octenyl)alanine tert-butyl ester p-Nitrobenzoate |
(R)-α-(7-Octenyl)Ala-OtBu p-Nitrobenzoate |
|
≧98.0% |
1375904-22-5 |
C15H29NO2・C7H5NO4 |
422.52 |
◆α-炔基丙氨酸(α-AlkynylAla)
|
产品编号 |
产品名称 |
简称/别称 |
结构式 |
纯度 |
CAS. No. |
分子式 |
分子量 |
|
FN-JJAD |
(S)-α-PropargylAla |
(S)-α-AllylAla・H2O |
|
≧98.0% |
1231709-27-5 |
C6H9NO2 |
127.14 |
|
FN-JJAE |
(R)-α-PropargylAla |
(R)-α-AllylAla・H2O |
|
≧98.0% |
403519-98-2 |
C6H9NO2 |
127.14 |
◆α-烯基甘氨酸(α-AlkenylGly)
|
产品编号 |
产品名称 |
简称/别称 |
结构式 |
纯度 |
CAS. No. |
分子式 |
分子量 |
|
FN-JJBA |
(S)-α-Allylglycine |
(S)-α-AllylGly |
|
≧98.0% |
16338-48-0 |
C5H9NO2 |
115.13 |
|
FN-JJBB |
(R)-α-Allylglycine |
(R)-α-AllylGly |
|
≧98.0% |
54594-06-8 |
C5H9NO2 |
115.13 |
|
FN-JJBC |
(R)-N-Acetyl-α-Allylglycine |
(R)-N-Acetyl-α-AllylGly |
|
≧98.0% |
121786-40-1 |
C7H11NO3 |
157.17 |
|
FN-JJBD |
(S)-N-Boc-α-Allylglycine Dicyclohexylamine salt |
(S)-N-Boc-α-AllylGly Dicyclohexylamine salt |
|
≧98.0% |
143979-15-1 |
C10H17NO4・C12H23N |
396.5 |
|
FN-JJBE |
(S)-α-Allylglycine ethyl ester p-Toluenesulfonate |
(S)-α-AllylGly-OEt p-Toluenesulfonate |
|
≧97.0% |
1231709-21-9 |
C7H13NO2・C7H8O3S |
315.39 |
|
FN-JJBF |
(R)-α-Allylglycine ethyl ester p-Toluenesulfonate |
(R)-α-AllylGly-OEt p-Toluenesulfonate |
|
≧97.0% |
1432914-51-6 |
C7H13NO2・C7H8O3S |
315.39 |
◆α-炔基甘氨酸(α-AlkynylGly)
|
产品编号 |
产品名称 |
简称/别称 |
结构式 |
纯度 |
CAS. No. |
分子式 |
分子量 |
|
FN-JJBG |
(S)-α-Propargylglycine |
(S)-α-PropargylGyl |
|
≧98.0% |
23235-01-0 |
C5H7NO2 |
113.12 |
|
FN-JJBH |
(R)-α-Propargylglycine |
(R)-α-PropargylGly |
|
≧98.0% |
23235-03-2 |
C5H7NO2 |
113.12 |
◆α,α-二烯基甘氨酸(α, α-DialkenylGly)
|
产品编号 |
产品名称 |
简称/别称 |
结构式 |
纯度 |
CAS. No. |
分子式 |
分子量 |
|
FN-JJBI |
N-Fmoc-α,α-Bis(4-pentenyl)glycine |
N-Fmoc-α,α-Bis(4-pentenyl)Gly |
|
≧98.0% |
1068435-19-7 |
C27H31NO4 |
433.55 |
◆丙氨酸(Ala)衍生物 (Alanine (Ala) derivative)
|
产品编号 |
产品名称 |
简称/别称 |
结构式 |
纯度 |
CAS. No. |
分子式 |
分子量 |
|
FN-JJCJ |
(S)-α-Ethylalanine・H2O |
(S)-α-EtAla・H2O |
|
≧98.0% |
595-40-4 |
C5H11NO2・H2O |
135.16 |
|
FN-JJCA |
(R)-α-Ethylalanine・H2O |
(R)-α-EtAla・H2O |
|
≧98.0% |
3059-97-0 |
C5H11NO2・H2O |
135.16 |
|
FN-JJCB |
(S)-N-Boc-α-Ethylalanine |
(S)-N-Boc-α-EtAla |
|
≧98.0% |
151171-11-8 |
C10H19NO4 |
217.27 |
|
FN-JJCC |
(R)-N-Boc-α-Ethylalanine |
(R)-N-Boc-α-EtlAla |
|
≧98.0% |
123254-58-0 |
C10H19NO4 |
217.27 |
|
FN-JJCD |
(S)-N-Fmoc-α-Ethylalanine |
(S)-N-Fmoc-α-EtAla |
|
≧98.0% |
857478-30-9 |
C20H21NO4 |
339.39 |
|
FN-JJCE |
(R)-N-Fmoc-α-Ethylalanine |
(R)-N-Fmoc-α-EtAla |
|
≧98.0% |
1231709-22-0 |
C20H21NO4 |
339.39 |
◆天冬氨酸(Asp)衍生物 (Aspartic acid (Asp) derivative)
|
产品编号 |
产品名称 |
简称/别称 |
结构式 |
纯度 |
CAS. No. |
分子式 |
分子量 |
|
FN-JJDJ |
(S)-α-Methylaspartic acid |
(S)-α-MeAsp |
|
≧98.0% |
3227-17-6 |
C5H9NO4 |
147.13 |
|
FN-JJDA |
(R)-α-Methylaspartic acid |
(R)-α-MeAsp |
|
≧98.0% |
14603-76-0 |
C5H9NO4 |
147.13 |
|
FN-JJDB |
(S)-α-Methylaspartic acid-4-tert-butyl ester |
(S)-α-MeAsp-4-OtBu |
|
≧98.0% |
1217977-71-3 |
C9H17NO4 |
203.24 |
|
FN-JJDC |
(R)-α-Methylaspartic acid-4-tert-butyl ester |
(R)-α-MeAsp -4-OtBu |
|
≧98.0% |
1231709-25-3 |
C9H17NO4 |
203.24 |
|
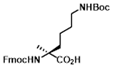
FN-JJDD |
(S)-N-Fmoc-α-Methylaspartic acid-4-tert-butyl ester |
(S)-N-Fmoc-α-MeAsp-4-OtBu |
|
≧98.0% |
1072845-47-6 |
C24H27NO6 |
425.48 |
|
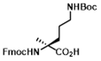
FN-JJDE |
(R)-N-Fmoc-α-Methylaspartic acid-4-tert-butyl ester |
(R)-N-Fmoc-α-MeAsp-4-OtBu |
|
≧98.0% |
1231709-26-4 |
C24H27NO6 |
425.48 |
◆天冬酰胺(Asn)衍生物 (Asparagine (Asn) derivative)
|
产品编号 |
产品名称 |
简称/别称 |
结构式 |
纯度 |
CAS. No. |
分子式 |
分子量 |
|
FN-JJDF |
(S)-N-Fmoc-α-Methylasparagine |
(S)-N-Fmoc-α-MeAsn |
|
≧98.0% |
1403590-49-7 |
C20H20N2O5 |
368.39 |
|
FN-JJDG |
(R)-N-Fmoc-α-Methylasparagine |
(R)-N-Fmoc-α-MeAsn |
|
≧98.0% |
1403590-50-0 |
C20H20N2O5 |
368.39 |
◆半胱氨酸(Cys)衍生物 (Cysteine (Cys) derivative)
|
产品编号 |
产品名称 |
简称/别称 |
结构式 |
纯度 |
CAS. No. |
分子式 |
分子量 |
|
FN-JJDH |
(R)-L-α-Methylcysteine・HCl |
(R)-L-α-MeCys・HCl |
|
≧98.0% |
148766-37-4 |
C4H9NO2S・HCl |
171.65 |
|
FN-JJDI |
(S)-D-α-Methylcysteine・HCl |
(S)-D-α-MeCys・HCl |
|
≧98.0% |
151062-55-4 |
C4H9NO2S・HCl |
171.65 |
|
FN-JACD |
(R)-L-N-Fmoc-S-Trt-α-Methylcysteine |
(R)-L-N-Fmoc-S-Trt-α-MeCys |
|
≧98.0% |
725728-43-8 |
C38H33NO4S |
599.74 |
◆亮氨酸(Leu)衍生物 (Leucine (Leu) derivative)
|
产品编号 |
产品名称 |
简称/别称 |
结构式 |
纯度 |
CAS. No. |
分子式 |
分子量 |
|
FN-JJEE |
(S)-α-Methylleucine |
(S)-α-MeLeu |
|
≧98.0% |
105743-53-1 |
C7H15NO2 |
145.2 |
|
FN-JJEF |
(R)-α-Methylleucine |
(R)-α-MeLeu |
|
≧98.0% |
29589-03-5 |
C7H15NO2 |
145.2 |
◆赖氨酸(Lys)衍生物 (Lysine (Lys) derivative)
|
产品编号 |
描述 |
简称/别称 |
结构式 |
纯度 |
CAS. No. |
分子式 |
分子量 |
|
FN-JJFA |
(S)-Nα-Fmoc-Nω-Boc-α-Methyllysine |
(S)-Nα-Fmoc-Nω-Boc-α-MeLys |
|
≧98.0% |
1202003-49-3 |
C27H34N2O6 |
482.58 |
|
FN-JJFB |
(R)-Nα-Fmoc-Nω-Boc-α-Methyllysine |
(R)-Nα-Fmoc-Nω-Boc-α-MeLys |
|
≧98.0% |
1315449-94-5 |
C27H34N2O6 |
482.58 |
|
FN-JJFC |
(S)-Nα-Fmoc-Nω-Alloc-α-Methyllysine |
(S)-Nα-Fmoc-Nω-Alloc-α-MeLys |
|
≧98.0% |
1934266-47-3 |
C26H30N2O6 |
466.53 |
◆鸟氨酸(Orn)衍生物 (Ornithine (Orn) derivative)
|
产品编号 |
产品名称 |
别称 |
结构式 |
纯度 |
CAS. No. |
分子式 |
分子量 |
|
FN-JJFE |
(S)-Nα-Fmoc-Nδ-Boc-α-Methylornithine |
– |
|
≧98.0% |
1315449-95-6 |
C26H32N2O6 |
468.55 |
|
FN-JJFF |
(R)-Nα-Fmoc-Nδ-Boc-α-Methylornithine |
– |
|
≧98.0% |
171860-40-5 |
C26H32N2O6 |
468.55 |
◆苯丙氨酸(Phe)衍生物 (Phenylalanin (Phe) derivative)
|
产品编号 |
产品名称 |
简称/别称 |
结构式 |
纯度 |
CAS. No. |
分子式 |
分子量 |
|
FN-JJFH |
(S)-α-Methylphenylalanine・H2O |
(S)-α-MePhe・H2O |
|
≧98.0% |
23239-35-2 |
C10H13NO2・H2O |
197.23 |
|
FN-JJFI |
(R)-α-Methylphenylalanine・H2O |
(R)-α-MePhe・H2O |
|
≧98.0% |
17350-84-4 |
C10H13NO2・H2O |
197.23 |
|
FN-JJGJ |
(S)-N-Fmoc-α-Methylphenylalanine・3/2H2O |
(S)-N-Fmoc-α-MePhe・3/2H2O |
|
≧98.0% |
135944-05-7 |
C25H23NO4・3/2H2O |
428.48 |
|
FN-JJGA |
(R)-N-Fmoc-α-Methylphenylalanine・3/2H2O |
(R)-N-Fmoc-α-MePhe・3/2H2O |
|
≧98.0% |
152436-04-9 |
C25H23NO4 ·3/2H2O |
428.48 |
|
FN-JJIB |
(S)-α-Methyl-3-fluorophenylalanine |
– |
|
≧98.0% |
130855-56-0 |
C10H12FNO2 |
197.21 |
|
FN-JJIC |
(R)-α-Methyl-3-fluorophenylalanine |
– |
|
≧98.0% |
1270184-80-9 |
C10H12FNO2 |
197.21 |
|
FN-JJID |
(S)-α-Methyl-4-fluorophenylalanine |
– |
|
≧98.0% |
130855-57-1 |
C10H12FNO2 |
197.21 |
|
FN-JJIE |
(R)-α-Methyl-4-fluorophenylalanine |
– |
|
≧98.0% |
422568-68-1 |
C10H12FNO2 |
197.21 |
|
FN-JJIF |
(S)-N-Fmoc-α-Methyl-2-fluorophenylalanine |
– |
|
≧98.0% |
1172127-44-4 |
C10H12FNO2 |
419.45 |
|
FN-JJIG |
(R)-N-Fmoc-α-Methyl-2-fluorophenylalanine |
– |
|
≧98.0% |
1315449-93-4 |
C25H22FNO4 |
419.45 |
|
FN-JJII |
(S)-N-Fmoc-α-Methyl-2,6-difluorophenylalanine (S)-N-Fmoc-α-甲基-2,6 -二氟苯基丙氨酸 |
– |
|
≧98.0% |
1223105-51-8 |
C25H22FNO4 |
437.44 |
|
FN-JAJJ |
(R)-α-Methyl-4-trifluoromethylphenylalanine ethyl ester・HCl・H2O |
– |
|
≧98.0% |
1315449-99-0 |
C13H16F3NO2·HCl・H2O |
329.75 |
|
FN-JAJA |
(S)-α-Methyl-4-trifluoromethoxyphenylalanine (S)-α-甲基-4-三氟甲氧基苯基丙氨酸 |
– |
|
≧98.0% |
1269926-90-0 |
C11H12F3NO3 |
263.22 |
|
FN-JAJB |
(R)-α-Methyl-4-trifluoromethoxyphenylalanine (R)-α-甲基-4-三氟甲氧基苯基丙氨酸 |
– |
|
≧98.0% |
1269835-58-6 |
C11H12F3NO3 |
263.22 |
|
FN-JAJC |
(S)-α-Methyl-2-bromophenylalanine・H2O |
– |
|
≧98.0% |
1212180-27-2 |
C10H12BrNO2・H2O |
276.13 |
|
FN-JAJD |
(R)-α-Methyl-2-bromophenylalanine・H2O |
– |
|
≧98.0% |
1212307-90-8 |
C10H12BrNO2・H2O |
276.13 |
|
FN-JAJE |
(S)-α-Methyl-3-bromophenylalanine・H2O- |
– |
|
≧98.0% |
1212117-73-1 |
C10H12BrNO2・H2O |
276.13 |
|
FN-JAJF |
(R)-α-Methyl-3-bromophenylalanine・H2O |
– |
|
≧98.0% |
1212321-90-8 |
C10H12BrNO2・H2O |
276.13 |
|
FN-JAJG |
(S)-α-Methyl-4-bromophenylalanine |
– |
|
≧98.0% |
747397-27-9 |
C10H12BrNO2・H2O |
276.13 |
|
FN-JAJH |
(R)-α-Methyl-4-bromophenylalanine |
– |
|
≧98.0% |
752971-41-8 |
C10H12BrNO2・H2O |
276.13 |
|
FN-JAJI |
(S)-α-Methyl-3-iodophenylalanine・H2O |
– |
|
≧98.0% |
457653-01-9 |
C10H12INO2・H2O |
323.13 |
|
FN-JAAJ |
(R)-α-Methyl-3-iodophenylalanine・H2O |
– |
|
≧98.0% |
457652-83-4 |
C10H12INO2・H2O |
323.13 |
|
FN-JAAA |
(S)-α-Methyl-4-iodophenylalanine |
– |
|
≧98.0% |
1215092-16-2 |
C10H12INO2・H2O |
323.13 |
|
FN-JAAB |
(R)-α-Methyl-4-iodophenylalanine |
– |
|
≧98.0% |
1241679-14-0 |
C10H12INO2・H2O |
323.13 |
|
FN-JAAI |
(S)-α-Methyl-2-nitrophenylalanine・H2O |
– |
|
≧98.0% |
1241680-71-6 |
C10H12N2O4・H2O |
242.23 |
|
FN-JABJ |
(R)-α-Methyl-2-nitrophenylalanine・H2O |
– |
|
≧98.0% |
1241680-73-8 |
C10H12N2O4・H2O |
242.23 |
|
FN-JABA |
(S)-α-Methyl-3-nitrophenylalanine・H2O |
– |
|
≧98.0% |
1215092-14-0 |
C10H12N2O4・H2O |
242.23 |
|
FN-JABB |
(R)-α-Methyl-3-nitrophenylalanine・H2O |
– |
|
≧98.0% |
1215092-13-9 |
C10H12N2O4・H2O |
242.23 |
|
FN-JAAG |
(S)-α-Methyl-β-(4-biphenyl)alanine・H2O |
– |
|
≧98.0% |
1231709-24-2 |
C16H17NO2・H2O |
273.33 |
◆脯氨酸(Pro)衍生物 (Proline (Pro) derivative)
|
产品编号 |
产品名称 |
简称/别称 |
结构式 |
纯度 |
CAS. No. |
分子式 |
分子量 |
|
FN-JJGB |
(S)-N-Boc-α-Methylproline |
(S)-N-Boc-α-MePro |
|
≧98.0% |
103336-06-7 |
C11H19NO4 |
229.28 |
|
FN-JJGC |
(R)-N-Boc-α-Methylproline |
(R)-N-Boc-α-MePro |
|
≧98.0% |
166170-15-6 |
C11H19NO4 |
229.28 |
|
FN-JJGD |
(S)-N-Fmoc-α-Methylproline |
(S)-N-Fmoc-α-MePro |
|
≧98.0% |
167275-47-0 |
C21H21NO4 |
351.4 |
|
FN-JJGE |
(R)-N-Fmoc-α-Methylproline |
(R)-N-Fmoc-α-MePro |
|
≧98.0% |
1286768-33-9 |
C21H21NO4 |
351.4 |
◆丝氨酸(Ser)衍生物(Serine (Ser) derivative)
|
产品编号 |
产品名称 |
简称/别称 |
结构式 |
纯度 |
CAS. No. |
分子式 |
分子量 |
|
FN-JJGF |
(S)-N-Fmoc-O-tert-Butyl-α-Methylserine |
(S)-N-Fmoc-O–t-Bu-α-MeSer |
|
≧98.0% |
914399-98-7 |
C23H27NO5 |
397.47 |
◆苏氨酸(Thr)衍生物 (Threonine(Thr) derivative)
|
产品编号 |
产品名称 |
简称/别称 |
结构式 |
纯度 |
CAS. No. |
分子式 |
分子量 |
|
FN-JJGG |
(2S,3R)-α-Methylthreonine |
(2S,3R)-α-MeThr |
|
≧98.0% |
127126-06-1 |
C5H11NO3 |
113.15 |
◆色氨酸(Trp)衍生物 (Tryptophan (Trp) derivative)
|
产品编号 |
产品名称 |
简称/别称 |
结构式 |
纯度 |
CAS. No. |
分子式 |
分子量 |
|
FN-JJGH |
(S)-α-Methyltryptophan・1/2H2O |
(S)-α-MeTrp・1/2H2O |
|
≧98.0% |
16709-25-4 |
C12H14N2O2・1/2H2O |
227.26 |
|
FN-JJGI |
(R)-α-Methyltryptophan・1/2H2O |
(R)-α-MeTrp・1/2H2O |
|
≧98.0% |
56452-52-9 |
C12H14N2O2・1/2H2O |
227.26 |
◆酪氨酸(Tyr)衍生物 (Tyrosine (Tyr) derivative)
|
产品编号 |
产品名称 |
简称/别称 |
结构式 |
纯度 |
CAS. No. |
分子式 |
分子量 |
|
FN-JJHB |
(R)-α-Methyl-4-hydroxyphenylalanine |
(R)-α-Methyltyrosine, |
|
≧98.0% |
672-86-6 |
C10H13NO3 |
195.22 |
|
FN-JJHF |
(R)-3-Hydroxyphenylalanine |
(R)-m-Tyrosine, |
|
≧98.0% |
32140-49-1 |
C9H11NO3 |
181.19 |
|
FN-JJHG |
(R)-3-Methoxyphenylalanine・H2O |
(R)-O-Methyl-m-tyrosine・H2O, (R)-OMe-m-Tyr・H2O (R)-甲氧基间酪氨酸一水合物 |
|
≧98.0% |
145306-65-6 |
C10H13NO3・H2O |
213.23 |
◆缬氨酸(Val)衍生物 (Valine (Val) derivative)
|
产品编号 |
产品名称 |
简称/别称 |
结构式 |
纯度 |
CAS. No. |
分子式 |
分子量 |
|
FN-JJHH |
(S)-α-Methylvaline |
(S)-α-MeVal |
|
≧98.0% |
53940-83-3 |
C6H13NO2 |
131.18 |
|
FN-JJHI |
(R)-α-Methylvaline |
(R)-α-MeVal |
|
≧98.0% |
53940-82-2 |
C6H13NO2 |
131.18 |
|
FN-JJIJ |
(S)-N-Fmoc-α-Methylvaline |
(S)-N-Fmoc-α-MeVal |
|
≧98.0% |
169566-81-8 |
C21H23NO4 |
353.42 |
|
FN-JJIA |
(R)-N-Fmoc-α-Methylvaline |
(R)-N-Fmoc-α-MeVal |
|
≧98.0% |
616867-28-8 |
C21H23NO4 |
353.42 |
※ 本页面产品仅供研究用,研究以外不可使用。
| 产品编号 | 产品名称 | 产品规格 | 产品等级 |





















































































