日本和光Wako特种化学-铜铁试剂②
铜铁试剂是一种重要的分析试剂,为N-亚硝基羟胺的铵盐,俗称铜铁灵。通常情况下为白色或淡黄色光亮的鳞片状结晶,有甜味,久置因慢慢分解而颜色变暗,但实际上还可以在分析上使用。它易溶于水、苯、醇、醚。试剂受热分解生成硝基苯。
日本和光Wako特种化学-铜铁试剂②
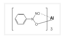
Q-1301(N-Nitorosophenylthydroxlamie alminium salt)

中文名称:三亚硝基苯胲铝盐
CAS NO.:15305-07-4
英文缩写:无
◆物理性质
|
外观 |
形状:粉末 |
|
融点 |
160℃以上 |
|
溶解性 |
水:难溶 |
◆相关法规·安全性
|
剧毒法 |
危险品第五类亚硝基化合物 (第二种自身反应性物质) |
|
剧毒物及剧毒物取缔法 |
– |
|
化审法 |
3-3409 |
|
安卫法 |
公开化学物质 |
|
变异源性 |
使用微生物进行变异源性试验呈弱阳性 |
|
经口毒性(LD50) |
经口大鼠(雄) 2,330mg/kg |
Q-1301(N-Nitorosophenylthydroxlamie alminium salt)

中文名称:三亚硝基苯胲铝盐
CAS NO.:15305-07-4
英文缩写:无
◆物理性质
|
外观 |
形状:粉末 |
|
融点 |
160℃以上 |
|
溶解性 |
水:难溶 |
◆相关法规·安全性
|
剧毒法 |
危险品第五类亚硝基化合物 (第二种自身反应性物质) |
|
剧毒物及剧毒物取缔法 |
– |
|
化审法 |
3-3409 |
|
安卫法 |
公开化学物质 |
|
变异源性 |
使用微生物进行变异源性试验呈弱阳性 |
|
经口毒性(LD50) |
经口大鼠(雄) 2,330mg/kg |