上海金畔生物科技有限公司代理New England Biolabs(NEB)酶试剂全线产品,欢迎访问官网了解更多产品信息和订购。
产品信息
Luna 通用 qPCR 预混液是经优化的 2X 反应预混液,可以用于对靶标 DNA 序列进行实时 qPCR 检测和定量,适用于使用大多数实时荧光定量 qPCR 仪器的 SYBR®/FAM 通道。该预混液包含热启动 Taq DNA 聚合酶,还添加了独特的惰性参比染料,该染料可与多种 qPCR 仪器兼容(包括需要高 ROX 或低 ROX 参比信号的仪器)。独具特色的是:预混液还包含可防止交叉污染的 dUTP,以及有助于观察反应体系建立的非荧光可见示踪染料。该染料的光谱与 qPCR 荧光染料不重叠,因此不会影响到实时检测数值。
该预混液浓度为 2X,包含 DNA 扩增和定量所需的所有 PCR 组分(引物和 DNA 模板除外)。使用 Luna qPCR 配合已有的商品化的 qPCR 测定引物,可对基因组 DNA 或感兴趣的 cDNA 进行定量检测。



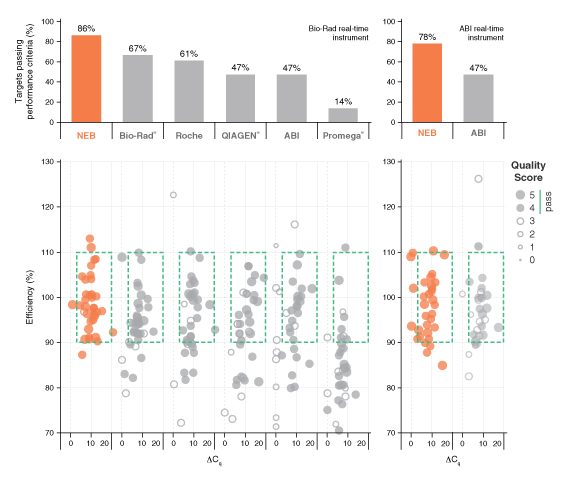
详细了解 qPCR/RT-qPCR 综合测试和“dots in boxes”数据可视化分析方法
- 产品类别:
- Luna® qPCR & RT-qPCR Products,
- PCR, qPCR & Amplification Technologies Products
- 应用:
- qPCR & RT-qPCR,
- DNA Amplification, PCR & qPCR
-
产品组分信息
本产品提供以下试剂或组分:
NEB # 名称 组分货号 储存温度 数量 浓度 -
M3003V -20 Luna® Universal qPCR Master Mix M3003VVIAL -20 1 x 1 ml 2 X
-
M3003S -20 Luna® Universal qPCR Master Mix M3003SVIAL -20 2 x 1 ml 2 X
-
M3003L -20 Luna® Universal qPCR Master Mix M3003SVIAL -20 5 x 1 ml 2 X
-
M3003X -20 Luna® Universal qPCR Master Mix M3003SVIAL -20 10 x 1 ml 2 X
-
M3003E -20 Luna® Universal qPCR Master Mix M3003EVIAL -20 1 x 25 ml 2 X
-
-
相关产品
相关产品
- 南极热敏 UDG
- Luna® 通用探针法 qPCR 预混液
- Luna® 探针一步法 RT-qPCR 试剂盒(无 ROX)
- Luna® 通用一步法 RT-qPCR 试剂盒
- Luna® 通用探针一步法 RT-qPCR 试剂盒
- LunaScript™ 反转录 SuperMix 试剂盒
操作说明、说明书 & 用法
-
操作说明
- Luna® Universal qPCR Master Mix Protocol (M3003)
- Protocol for Two-step RT-qPCR using the LunaScript® RT SuperMix Kit (NEB #E3010) and the Luna® Universal qPCR Master Mix (NEB #M3003) or Luna Universal Probe qPCR Master Mix (NEB #M3004)
-
说明书
产品说明书包含产品使用的详细信息、产品配方和质控分析。- manualM3003
-
使用指南
- Optimization Tips for Luna® qPCR
-
应用实例
- High-throughput qPCR and RT-qPCR Workflows Enabled by Beckman Coulter Echo Acoustic Liquid Handling and NEB Luna Reagents
FAQs & 问题解决指南
-
FAQs
- How do I use qPCR to determine the concentration of my material?
- Can I set up my Luna® qPCR at room temperature?
- What is the difference between probe- and dye-based versions of the Luna® qPCR Mixes?
- Should I use probe- or dye-based detection for my qPCR assays?
- How should I design primers for Luna® qPCR?
- How long should my amplicon be for qPCR?
- Why is the Luna® qPCR Mix blue? Will this dye interfere with detection?
- Can I run the Luna® qPCR Mix on my qPCR instrument?
- Can I use fast instrument settings with the Luna® qPCR Mix?
- Do I need to add ROX?
- How many dilutions should I use to make a standard curve?
- Why does NEB recommend 40-45 cycles?
- Does the Luna® qPCR Mix contain dUTP? Can I use carryover contamination prevention methods?
- Why do I have multiple peaks in my melt curve?
- How can I distinguish non-template amplification (NTC) from real products?
- Why do I see amplification curves in my NTC samples?
- What samples can be used in qPCR with the Luna® Mix?
- Can I use cDNA? Does it matter how I make it?
- How much template material can I use in Luna® qPCR?
- How much primer should I use for the Luna® Universal qPCR Master Mix?
- Can I use shorter cycling times?
- What is the fluorescent, double-stranded DNA binding dye in the Luna® qPCR master mix?
-
问题解决指南
- Luna® qPCR Troubleshooting Guide